为获得视觉上较均匀的颜色空间,CIE推荐CIE1976(L*a*b*)色空间和CIE1976(L"u*v*)色空间,并分别规定了色差计算方法。本文主要介绍了CIE1976(L*a*b*)色空间.。

注:本章中用脚标0和1代表用于色差比较的两个样品。
近似均匀的CIELAB三维色空间由直角坐标L*,A*,b*构成,L*,A*,b*由式(2)确定:

式中:
X、Y、Z——被测物体色刺激在CIE1931标准色度系统中的三刺激值X、Y、Z,或在CIE1964标准色度系统中的三刺激值X10、Y10、Z10
Xn、Yn、Zn——给定的白物体色刺激的三刺激值。

在通常情况下,给定的白物体色刺激是指与被测物体色在相同的光源照明下,完全漫反射体反射到观察者眼中的色刺激,其三刺激值在数值上即为照明光源或照明体的三刺激值。
CIE照明体在CIE1931标准色度系统中的三刺激值X,、Y、Z,见表1。

CIE照明体在CIE1964标准色度系统中的三刺激值X10、Y10、Z10见表2。

CIELAB色空间示意图见图2。
CIELAB色空间中与明度、彩度和色调近似相关的量和计算公式分别是:
1)CIE1976明度L*,计算方法同式(2)中L*。
2)CIE1976 a,b彩度(简称CIELAB彩度)C*ab ,计算方法如下:

3)CIE1976 a,b色调角(简称CIELAB色调角)hab,计算方法如下:

1)两个颜色样品的CIE1976 a,b色差(简称CIELAB色差)ΔE或计算方法如下:

式中,△L* 是CIELAB明度差,△a*、△b* 是CIELAB色品指数差,计算方法见式2);ΔC高是CIELAB彩度差,计算方法见式3);△H高是CIELAB色调差,计算方法见式5)或式6)。
2)CIELAB明度差和色品指数差:

3)CIELAB彩度差:

4)CIELAB色调角差:

5)CIELAB色调差:

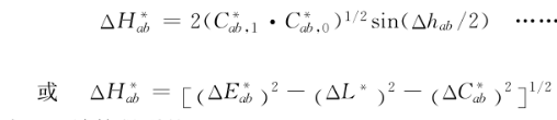
对于不在无彩色轴上的小色差,ΔH*ab 可以按下列式子计算:

式中,Δhab的单位是弧度。
注1:ΔH*ab 与Δhab的正负符号相同。
注2:当Δhab的绝对值趋近180度时,可不必计算CIELAB色调差和彩度差。